8 Operating Profit

By primary gear, scallop dredge has considerably higher mean and median operating profit than other gear groups. Trawl has the second highest mean and median values, followed by longline, pot/trap, gillnet, and handgear. For most gear types, mean values greatly exceed median values, indicating skewness in the distribution to the right. The boxplots emphasize the range of operating profit by gear group with the box extending past $750K for scallop dredge and ~$400k for trawl. Gillnet, longline, and pot/trap extend considerably less and handgear is close to $0. A small number of observations exhibit negative operating profit, which generally is viewed as the short-term shutdown point in which continuing operations is no longer economically viable. These observations may be explained in part by other vessel uses outside of commercial fishing. For example, if a vessel is used for leisure activities, the vessel owner may have listed costs associated with activities that do not generate revenue. These vessels tend to belong to the handgear and pot/trap gear groups.

Table 8.1: Operating Profit by Primary Gear
Gear Response Sample Response (%) Mean Median Standard Deviation
Gillnet 9 89 10% $43,971 $27,782 $76,150
Handgear 53 365 15% $8,201 $3,572 $59,763
Longline 4 24 17% $119,021 C* C*
Pot/Trap 158 1347 12% $77,796 $54,422 $129,058
Scallop Dredge 28 219 13% $493,407 $454,378 $401,097
Trawl 26 190 14% $324,880 $269,715 $369,360
Note:
C* indicates data not presented to protect confidentiality
Boxplot by primary gear showing median, Q1, and Q3 operating profit values with whiskers extended to the inter-quartile range (Q3-Q1) multiplied by 1.5. All gear groups with at least five responding vessels are included in the plot. Median, Q1, and Q3 values are highest for the scallop dredge group, followed by trawl, pot/trap, gillnet, and handgear. For scallop dredge vessels, these summary values show a high level of operating profit, with Q1 over the $125,000 tick mark. Other gear groups show substantially lower values, with Q1 only slightly positive for trawl and pot/trap vessels. Gillnet vessels show limited operating profit with Q3 less than the $125,000 tick mark. Handgear vessels have values very close to $0.

Figure 8.1: Distribution of Operating Profit by Primary Gear


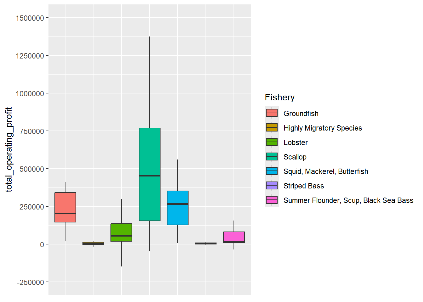
By FMP, scallop has higher mean and median operating profit than all other fisheries. Squid, mackerel, butterfish has the second highest mean values, while groundfish has the third highest mean values. For a number of fisheries, mean values greatly exceed median values, indicating skewness in the distribution to the right. The boxplots emphasize the range of operating profit by gear group with the box extending past $750K for scallop and close to $400k for groundfish and squid, mackerel, butterfish. Lobster extends to ~100k and other fisheries are close to $0. A small number of observations exhibit negative operating profit, which generally is viewed as the shutdown point in which continuing operations is no longer economically viable. These observations may be explained in part by other vessel uses outside of commercial fishing. For example, if a vessel is used for leisure activities, the vessel owner may have listed costs associated with activities that do not generate revenue. Many of these vessels belong to the Highly Migratory Species fishery.

Table 8.2: Operating Profit by Primary Fishery
Fishery Response Sample Response (%) Mean Median Standard Deviation
Channeled Whelk 3 23 13% $35,976 C* C*
Dogfish 3 22 14% $2,757 C* C*
Groundfish 7 52 13% $348,830 $204,553 $412,121
Herring 4 6 67% $282,115 C* C*
Highly Migratory Species 34 196 17% $20,104 $2,818 $88,254
Lobster 151 1274 12% $78,620 $55,218 $130,152
Monkfish 3 20 15% $498 C* C*
Scallop 28 227 12% $493,407 $454,378 $401,097
Squid, Mackerel, Butterfish 9 60 15% $358,850 $265,778 $427,115
Striped Bass 12 65 18% $10,502 $4,116 $25,420
Summer Flounder, Scup, Black Sea Bass 24 135 18% $115,178 $13,751 $220,120
Note:
C* indicates data not presented to protect confidentiality
Boxplot by primary fishery showing median, Q1, and Q3 operating profit values with whiskers extended to the inter-quartile range (Q3-Q1) multiplied by 1.5. All fishery groups with at least five responding vessels are included in the plot. Median, Q1, and Q3 values are highest for the scallop group with an inter-quartile range of roughly $150,000 - $750,000. The next highest Q1 and Q3 values are for the groundfish and squid, mackerel, butterfish fisheries. These two fisheries show a relatively similar distribution in terms of the inter-quartile range extending from roughly $125,000 - $375,000 though the median value is noticeably higher for squid, mackerel, butterfish. Other fisheries show substantially lower values, with Q1 only slightly positive for lobster and summer flounder, scup, black sea bass vessels. Highly migratory species and striped bass vessels have values very close to $0.

Figure 8.2: Distribution of Operating Profit by Primary Fishery


When primary gear and FMP are combined, scallop dredge-scallop has the highest mean and median operating profit. Within primary gear types, a considerable difference in operating profit is found across fisheries. For example, the mean value for squid trawl vessels is substantially higher than the value for fluke, black sea bass, and scup trawl vessels. Within the pot/trap gear group, summer flounder, black sea bass, scup vessels have a higher mean value than for lobster but a lower median value. A small number of observations exhibit negative operating profit, which generally is viewed as the shutdown point in which continuing operations is no longer economically viable. These observations may be explained in part by other vessel uses outside of commercial fishing. For example, if a vessel is used for leisure activities, the vessel owner may have listed costs associated with activities that do not generate revenue.

Table 8.3: Operating Profit by Primary Gear/Fishery
Gear-Fishery Response Sample Response (%) Mean Median Standard Deviation
Gillnet-Monkfish 3 20 15% $498 C* C*
Gillnet-Other 6 69 9% $65,707 $63,616 $85,590
Handgear-Highly Migratory Species 31 184 17% $7,391 $1,308 $76,879
Handgear-Other 3 71 4% $35,549 C* C*
Handgear-Striped Bass 10 54 19% $3,077 $1,615 $6,043
Handgear-Summer Flounder, Scup, BSB 9 56 16% $7,567 $8,899 $18,680
Longline-Highly Migratory Species 3 10 30% $151,477 C* C*
Pot/Trap-Lobster 149 1268 12% $78,230 $55,218 $130,676
Pot/Trap-Summer Flounder, Scup, BSB 6 23 26% $87,930 $30,818 $119,800
Pot/Trap-Whelk 3 23 13% $35,976 C* C*
Scallop Dredge-Scallop 28 215 13% $493,407 $454,378 $401,097
Trawl-Groundfish 5 41 12% $458,601 $273,651 $447,936
Trawl-Other 4 40 10% $190,784 C* C*
Trawl-Squid, Mackerel, Butterfish 8 53 15% $402,767 $279,961 $434,339
Trawl-Summer Flounder, Scup, BSB 9 56 16% $240,955 $56,052 $314,009
Note:
C* indicates data not presented to protect confidentiality
Boxplot by primary gear/fishery showing median, Q1, and Q3 operating profit values with whiskers extended to the inter-quartile range (Q3-Q1) multiplied by 1.5. All fishery groups with at least five responding vessels are included in the plot. The results compare values for different fisheries within the handgear, pot/trap, and trawl gear groups. There is considerable variability within gear groups. For example, while all the three fisheries within the trawl group show similar Q3 values of approximately $375,000, median and Q1 values for the summer flounder, scup,black sea bass fishery are noticeably lower than those compared to groundfish and squid, mackerel, butterfish. Pot/trap vessels in the lobster fishery show a higher median value than those from the summer flounder, scup, black sea bass fishery though both groups have an inter-quartile range of roughly $0 - $125,000. All three fisheries within the handgear group show operating profit values around $0.

Figure 8.3: Distribution of Operating Profit by Primary Gear/Fishery